Cannabinoide und Marihuana
Marihuana ist die einzige Pflanze, die Cannabinoide enthält, und diese sind für die unterschiedlichen Wirkungen verantwortlich. Anhand ihres prozentualen Anteils und der vielfältigen möglichen Kombinationen lässt sich bestimmen, ob das jeweilige Gras für bestimmte Erkrankungen geeignet ist oder ob es im Gegenteil zu Freizeit- bzw. Genusszwecken verwendet werden kann. In diesem Beitrag erklären wir, was Cannabinoide sind und wofür sie dienen.
Inhaltsverzeichnis
Die Cannabinoide und Terpene, zusammen mit den Flavonoiden (auf die wir in anderen Beiträgen eingehen werden), gehören zu den wichtigsten Verbindungen der Cannabispflanze. Die Cannabinoide sind exklusiv für diese Pflanze, und in diesem etwas technischen Beitrag erklären wir euch sehr interessante Dinge über die durch diese Cannabinoide hervorgerufenen Wirkungen von Marihuana und ihre verschiedenen Anwendungsgebiete.

Was sind Cannabinoide?
Cannabinoide sind organische Verbindungen, die mit dem endogenen Cannabinoidsystem interagieren. Sie werden von den Rezeptoren CB1 und CB2 aufgenommen; diese Rezeptoren sind im menschlichen Körper verteilt, insbesondere im Nervensystem bzw. im Immunsystem. Aus diesem Grund wird Cannabis häufig zur Behandlung von Beschwerden eingesetzt, die mit diesen Körpersystemen zusammenhängen. Die Sorten von Philosopher Seeds sind reich an dieser Art von Verbindungen und können daher für eine Vielzahl von Therapien verwendet werden.

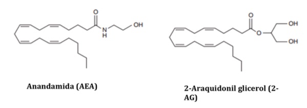
Endogene Cannabinoide sind Substanzen, die im Körper selbst produziert werden und mit den Cannabinoidrezeptoren interagieren. Bis heute wurden fünf endogene Cannabinoide identifiziert, die wichtigsten davon sind Anandamid und 2-AG. Beide stehen im Zusammenhang mit Funktionen, die Glück, Schlaf, Hunger, Gedächtnis usw. regulieren.

Exogene Cannabinoide oder Phytocannabinoide wurden im 20. Jahrhundert entdeckt: CBD und CBN in den 1940er-Jahren und THC im Jahr 1964.
Daneben gibt es auch synthetische Cannabinoide, die in der konventionellen Medizin eingesetzt werden, wie zum Beispiel Nabilon und Dronabinol.

Bis heute wurden 111 Cannabinoide in der Cannabispflanze identifiziert, wobei die am häufigsten vorkommenden Phytocannabinoide THC, CBD und CBN sind.
Was ist THC?
THC (Delta-9-Tetrahydrocannabinol) ist ein Cannabinoid der Cannabispflanze und ihr wichtigster psychoaktiver Wirkstoff. Es ist das bekannteste exogene Cannabinoid. THC ist fettlöslich, daher löst es sich in Öl, Milch, Butter oder anderen Fetten. Aufgrund dieser Eigenschaft lagert es sich im Körperfett ein und gehört zu den Substanzen, die im Vergleich zu anderen besonders langsam vom Körper abgebaut werden.
In der Pflanze liegt THC in seiner sauren Form (THCA) vor. Um seine Eigenschaften zu entfalten, muss es zunächst durch Erhitzen decarboxyliert werden, wodurch es zu THC wird, das vom Cannabinoidsystem erkannt wird.
THC wird unter anderem bei Erkrankungen des Immun- und Nervensystems, bei Anorexie oder Appetitlosigkeit sowie bei bestimmten chronischen Schmerzen eingesetzt.
Philosopher-Seeds-Sorten mit hohem THC-Gehalt
Hier stellen wir euch die drei Sorten aus unserem Katalog vor, die den höchsten THC-Gehalt aufweisen – auch wenn heutzutage alle unsere Sorten THC enthalten.
- Amnesika: Schnelle Blüte und hoher Ertrag
- Easy Haze: Schnelle Sativa mit Weihrauch- und tropischem Ananasgeschmack
- Orange Candy: Hybrid mit Orangengeschmack, ideal für den SOG-Anbau

Was ist CBD?
CBD (Cannabidiol) ist eines der wichtigsten Cannabinoide der Cannabispflanze. Es scheint die euphorischen Effekte von THC zu neutralisieren, auch wenn dies noch weiter erforscht wird. CBD ist nicht psychoaktiv und wird unter anderem bei Übelkeit, Angstzuständen und Krampfanfällen eingesetzt.
Neuere Studien deuten darauf hin, dass CBD das Wachstum bestimmter Tumorzellen hemmen kann, da es die Apoptose fördert.
Andere Studien weisen auf eine mögliche Wirksamkeit bei bestimmten Formen von Schizophrenie hin, da CBD psychotische Symptome reduziert und dabei weniger Nebenwirkungen verursacht. Besonders kontrovers ist das Thema kindliche Epilepsie: Aufgrund der krampflösenden Eigenschaften von CBD haben viele Eltern auf CBD zurückgegriffen, um die Symptome ihrer Kinder zu lindern – oft mit sehr guten Ergebnissen.
Hoher CBD-Gehalt bei Philosopher-Seeds-Sorten
Viele unserer Sorten weisen sehr interessante CBD-Werte auf. Hier sind die drei mit dem größten Potenzial:
- Spicy CBD: Würziger Geschmack, ideale Pflanze für SCROG
- Fruity Jack / Jack El Frutero: Sehr ertragreich im Innen- und Außenanbau
- Guava Berry Kush: Amerikanische Genetik mit klassischem Kush-Geschmack

Wir empfehlen außerdem die Lektüre eines früheren Beitrags, in dem erklärt wird, wie Philosopher Seeds mit der Entwicklung von CBD-reichen Cannabispflanzen begonnen hat.
Umwandlung von THC in CBN
CBN (Cannabinol) ist ein psychotroper Cannabinoid, das häufig in Indica-Sorten wie Tropimango von Philosopher Seeds vorkommt. In der Pflanze liegt es in seiner sauren Form (CBNA) vor und muss – wie THCA – decarboxyliert werden, um aktiv zu werden. CBNA entsteht durch den Abbau von THCA, beispielsweise durch schlechte Trocknungsbedingungen, Sonnenlichtexposition, hohe Temperaturen oder mangelhafte Belüftung.

Dieses Cannabinoid besitzt analgetische, antiemetische und antikonvulsive Eigenschaften. Zudem hat es eine psychoaktive Komponente, die mit entspannenden Effekten verbunden ist. Daher sind Pflanzen mit hohem CBN-Gehalt besonders bei Schlaflosigkeit geeignet.
Wir hoffen, dass euch dieser Beitrag hilft zu verstehen, was die drei wichtigsten Cannabinoide von Cannabis sind und wofür sie verwendet werden.
Wenn ihr Fragen oder Zweifel habt, könnt ihr gerne hier einen Kommentar hinterlassen.
Viele Grüße und good vibes!